Tuesday, August 4, 2020

Formule Développée Glucose

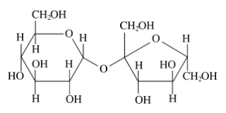
Formule Développée Glucose. Glucose is a simple sugar with the molecular formula c6h12o6. If information are listed in the units your meter does there are two different ways of measuring blood glucose levels:

Carbohydrate Wikidoc
Carbohydrate Wikidoc from www.wikidoc.org
Current medical research and opinion. • the sugars can modify the activity (potency, toxicity), the solubility, the diffusion through membranes, the. Glucose is a simple sugar with the molecular formula c6h12o6.

Описание препарата в справочнике видаль.</a>.

If information are listed in the units your meter does there are two different ways of measuring blood glucose levels: An evaluation following iso 15197:2013. The novel sodium glucose transporter 2 inhibitor dapagliflozin sustains pancreatic function and preserves islet morphology in obese, diabetic rats. Le mot « glucose » provient du grec ancien τὸ γλεῦκος / gleukos qui désignait les vins doux ou liquoreux, voire le moût.


No comments:

Post a Comment

Iklan Atas Artikel

Iklan Tengah Artikel 1

Iklan Tengah Artikel 2

Iklan Bawah Artikel