Thursday, October 29, 2020

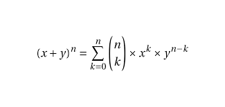
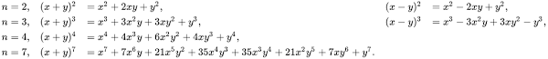
Formule Newton

Formule Newton. Applications of newton's first law of motion: Savesave formule newton raphson for later.

Binome De Newton Exercice De Analyse 450224
Binome De Newton Exercice De Analyse 450224 from www.ilemaths.net
Formule du binome de newton (algebre) partie 8. Primitivní funkce k funkci f(x). We want to approximate a.

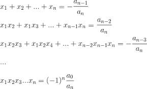
Comment trouver la racine d'une équation ?

Plusieurs méthodes on vient de voir la mécanique des approximations successives. There is no such formula. One joule is 1 newton metre, ie the work done or energy transfered to an object when a one newton force acts on it over one metre. It is named after isaac newton in recognition of his work on classical mechanics, specifically newton's second law of motion.


No comments:

Post a Comment

Iklan Atas Artikel

Iklan Tengah Artikel 1

Iklan Tengah Artikel 2

Iklan Bawah Artikel