Tuesday, December 29, 2020

Formule Concentratie Berekenen

Formule Concentratie Berekenen. De concentratie berekenen tijdens medisch rekenen kan dus van pas komen in het werkveld. Het berekenen van de concentratie van een chemische oplossing is een basisvaardigheid die alle studenten scheikunde vroeg in hun studie moeten ontwikkelen.

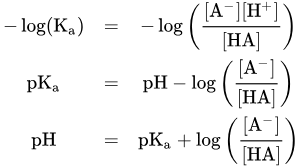
Henderson Hasselbalch Vergelijking Wikipedia
Henderson Hasselbalch Vergelijking Wikipedia from wikimedia.org
Cosinus = aanliggende zijde / schuine zijde. Opgaven zuurgraad (ph) berekenen met behulp van deze formules dien je berekeningen te. Al 21 jaar informatief en onafhankelijk.

Dit is heel eenvoudig wanneer men de volgende formule gebruikt.

Gebruik de rekenmachine om eenvoudig te bepalen wat hoeveel calorieën je per dag nodig hebt. Hoek berekenen met de sinus formule. Berekend met de formule cm = n / v, waarbij n de hoeveelheid stof is, mol, v het volume van de oplossing is, l. Het resultaat zal op de volgende pagina verschijnen.


No comments:

Post a Comment

Iklan Atas Artikel

Iklan Tengah Artikel 1

Iklan Tengah Artikel 2

Iklan Bawah Artikel