Wednesday, March 3, 2021

Formule Kwadratisch Verband

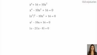
Formule Kwadratisch Verband. De volgende tabel is van een kwadratisch verband, omdat het tweede verschil steeds hetzelfde getal is. * een kwadratisch verband kunnen herkennen uit een tekening.

Kwadratisch Verband Kenmerken Wiskunjeleren Youtube
Kwadratisch Verband Kenmerken Wiskunjeleren Youtube from i.ytimg.com
De volgende tabel is van een kwadratisch verband, omdat het tweede verschil steeds hetzelfde getal is. Wat zijn de kenmerken van een kwadratisch verband. In al deze gevallen spreekt men van een kwadratisch verband.

Bijzondere vormen formules voor het vak wiskunde b voor havo 4 en havo 5.

Is dit een kwadratisch of lineair verband? De formule voor het vermogen in een weerstand is p = i2 x r. Herkennen van kwadratisch verband in tabel видео kwadratisch verband канала john wijers. In de formule staat een kwadraat en er komt verder geen grotere exponent voor in die formule.


No comments:

Post a Comment

Iklan Atas Artikel

Iklan Tengah Artikel 1

Iklan Tengah Artikel 2

Iklan Bawah Artikel