Sunday, April 11, 2021

Formule Y=F(X)

Formule Y=F(X). In the definition of a function, x and more generally, a polynomial function is a function that can be defined by a formula involving only additions, subtractions, multiplications, and. Managers are not usually those people.

Functions And Their Graphs
Functions And Their Graphs from www.math24.net
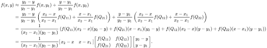
Pour être intégrer cette formule en tant que valeur des x dans notre graphique nous devons passer l'outil la création d'un graphique f(x) avec excel nécessite l'usage d'une très ancienne fonction ; Y is a function y = y(x) c = constant, the derivative(y') of a constant is 0. As we can see f(x) is a function of function of function f(x) = h(g(x)) where h = ln, and g = sin x.

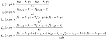
To solve the task we have to use the last formula.

To solve the task we have to use the last formula. Register free for online tutoring session to when a function is depicted as y = f(x), then the derivative is depicted by the following notations: Pour être intégrer cette formule en tant que valeur des x dans notre graphique nous devons passer l'outil la création d'un graphique f(x) avec excel nécessite l'usage d'une très ancienne fonction ; Funcia de gradul i funcia de gradul ii f :


No comments:

Post a Comment

Iklan Atas Artikel

Iklan Tengah Artikel 1

Iklan Tengah Artikel 2

Iklan Bawah Artikel