Friday, May 21, 2021

Formules D'euler

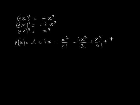
Formules D'euler. On utilise pour cela les formules d'euler, et les propriétés de l'exponentielle (réelle ou complexe). Elle s'écrit, pour tout nombre réel x, et se généralise aux x complexes.

La Formule De Moivre Et La Formule D Euler
La Formule De Moivre Et La Formule D Euler from s1.studylibfr.com
Utilisation pour linéariser un polynôme trigonométrique en utilisant la formule du binôme de newton. For any convex polyhedron, the number of vertices and. 559 фраз в 53 тематиках.

Fr euler inventa aussi des formules toujours utilisées dans des domaines aussi divers que la construction d'immeubles, le design aéronautique et naval et l'encodage.

559 фраз в 53 тематиках. Cet article vous présentera la formule d'euler et comment elle est utilisée pour représenter des vecteurs complexes. On utilise pour cela les formules d'euler, et les propriétés de l'exponentielle (réelle ou complexe). Formules d'euler — ● formules d euler relation f + s = a + 2, vraie pour tout polyèdre convexe compact, qui lie le nombre f de ses faces, le nombre s de ses sommets et celui a de ses arêtes.


No comments:

Post a Comment

Iklan Atas Artikel

Iklan Tengah Artikel 1

Iklan Tengah Artikel 2

Iklan Bawah Artikel